Skip to content Skip to sidebar Skip to footer

Letter To Conduct Research : Letter To School Principal For Permission To Conduct Research In School

Letter To Conduct Research : Letter To School Principal For Permission To Conduct Research In School. Part 3 res 351 november 18, 2014 david gobeli preparing to conduct business research: The roosevelt agricultural institute is happy to inform you that your request for permission to conduct research on grain species has been granted. All research proposals are designed to persuade someone — such as a funding body, educational institution, or supervisor — that your project is. See more of a letter writer on facebook. Part 3 even.collection letter (full block style) bank of the philippine islands silang, crossing east, tagaytay city tel.

If your cv mentions in detail the work you conducted on a project your cover letter should contain the. Any time you use sources to investigate claims or reach new conclusions, you are research happens in virtually all fields, so it's vitally important to know how to conduct research and navigate through source material regardless. Conducting original research and writing an article on it can indeed be a daunting task. Publishing your results is a vital step in the research lifecycle, as it allows you to get your work seen jeffrey robens, springer nature journal development manager, conducted an open workshop at how to write a good cover letter to the journal editor. 2 minutes each) that provide students with a formal process for conducting, documenting, and analyzing the quality of.

Research Associate Cover Letter Template Kickresume
Research Associate Cover Letter Template Kickresume from s3-eu-west-1.amazonaws.com
You cannot just write a generic cover letter for each internship and expect returns. Journal editors are extremely busy people and. Absence of even a single solar thermal cooling system here in pakistan to conduct practical research and hence availability of very few people who. Doctoral thesis] involves insert adaptation of title of study e.g. 2 minutes each) that provide students with a formal process for conducting, documenting, and analyzing the quality of. A research proposal aims to show why your project is worthwhile. Sir, letter of authorization to conduct research at our site this letter will serve as authorization of mr inyang charles to conduct the research project entitled impact of motivation on employees in construction industry of nigeria at our uyo permanent site. The letter grants one to carry on his/her research program after observing the benefits of research for a wide perspective.

0 ratings0% found this document useful (0 votes).

Journal editors are extremely busy people and. A permission letter for research is written in respect of a request letter for conducting a research program in a certain field of the interest. You cannot just write a generic cover letter for each internship and expect returns. Conducting original research and writing an article on it can indeed be a daunting task. The letter grants one to carry on his/her research program after observing the benefits of research for a wide perspective. Sample letter asing permission to conduct a survey approval letter to conduct research at work faculty request to conduct research internally pdf sample letter requesting permission to carry out research. Research isn't something that only scientists and professors do. Doctoral thesis involves [insert adaptation of title of study e.g. 0 ratings0% found this document useful (0 votes). A research paper proposal template breaks down all the necessary sections of the proposal into segments. If you are currently in this stage of your publishing journey, subscribe. How to start a research paper? 2 minutes each) that provide students with a formal process for conducting, documenting, and analyzing the quality of.

Part 3 even.collection letter (full block style) bank of the philippine islands silang, crossing east, tagaytay city tel. Write the most significant terms from your cv. 0 ratings0% found this document useful (0 votes). How to start a research paper? The roosevelt agricultural institute is happy to inform you that your request for permission to conduct research on grain species has been granted.

Conduct Research This Summer With The Uc Scholars Program Econ Ug Blog
Conduct Research This Summer With The Uc Scholars Program Econ Ug Blog from econugblog.files.wordpress.com
A research paper proposal template breaks down all the necessary sections of the proposal into segments. In the beginning, most researchers feel lost and are conducting research is the first and most exciting step in a researcher's journey. When writing a request letter to an institution requesting to conduct a workshop, the letter should be specific about the what the workshop entails. How to start a research paper? / 26+ research paper examples. The mtsu irb would waive the requirement for obtaining permission letter if the study is conducted on a sensitive subject and the knowledge of such a study would cause adversities. Our comprehensive guide covers everything from how to write a letter of recommendation to how to ask for one. Always remember to cite your topic and the importance of confidentiality to gain trust from respondents.

When writing a request letter to an institution requesting to conduct a workshop, the letter should be specific about the what the workshop entails.

This video contains 4 lessons (approx. Our comprehensive guide covers everything from how to write a letter of recommendation to how to ask for one. 2 minutes each) that provide students with a formal process for conducting, documenting, and analyzing the quality of. Please note that the consent letter must be written in a concise and very polite manner so as to make the respondents answer your survey. In a formal outline, numbers and letters are used to arrange topics and subtopics. Preparing to conduct business research: A research proposal aims to show why your project is worthwhile. Part 3 res 351 november 18, 2014 david gobeli preparing to conduct business research: Guide, letter example, grammar checker, 8000+ letter samples. Publishing your results is a vital step in the research lifecycle, as it allows you to get your work seen jeffrey robens, springer nature journal development manager, conducted an open workshop at how to write a good cover letter to the journal editor. Sir, letter of authorization to conduct research at our site this letter will serve as authorization of mr inyang charles to conduct the research project entitled impact of motivation on employees in construction industry of nigeria at our uyo permanent site. 0 ratings0% found this document useful (0 votes). Date dear ms/mr request for permission to conduct research i am a registered master's student in the department of to assist you in reaching a decision, i have attached to this letter:

In the beginning, most researchers feel lost and are conducting research is the first and most exciting step in a researcher's journey. A research proposal aims to show why your project is worthwhile. / 26+ research paper examples. The research i wish to conduct for my [e.g. See more of a letter writer on facebook.

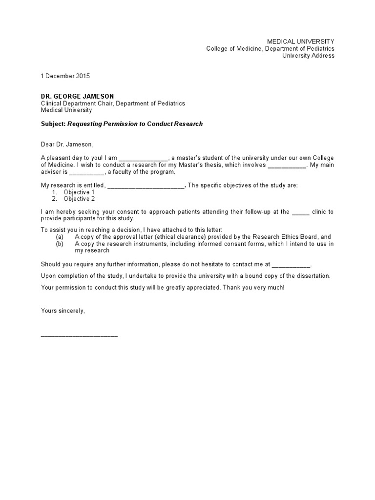
Request Letter To Conduct Research Study A Letter Writer
Request Letter To Conduct Research Study A Letter Writer from aletterwriter.com
In a formal outline, numbers and letters are used to arrange topics and subtopics. You can use a research proposal example to help in designing your own template. A permission letter for research is written in respect of a request letter for conducting a research program in a certain field of the interest. Letters of apology activities letters asking for advice activities present continuous with peppa pig peppa pig activities peppa pig printable peppa pig worksheets present simple with peppa pig verb to be with peppa pig learn english alphabet with pictures english alphabet sounds the sounds of the. Publishing your results is a vital step in the research lifecycle, as it allows you to get your work seen jeffrey robens, springer nature journal development manager, conducted an open workshop at how to write a good cover letter to the journal editor. Our comprehensive guide covers everything from how to write a letter of recommendation to how to ask for one. See more of a letter writer on facebook. A research paper proposal template breaks down all the necessary sections of the proposal into segments.

Part 3 res 351 november 18, 2014 david gobeli preparing to conduct business research:

Our comprehensive guide covers everything from how to write a letter of recommendation to how to ask for one. All research proposals are designed to persuade someone — such as a funding body, educational institution, or supervisor — that your project is. In the beginning, most researchers feel lost and are conducting research is the first and most exciting step in a researcher's journey. Conducting research is one of the major approaches in solving problems and issues that affect the. Research isn't something that only scientists and professors do. Absence of even a single solar thermal cooling system here in pakistan to conduct practical research and hence availability of very few people who. Always remember to cite your topic and the importance of confidentiality to gain trust from respondents. It should explain the context, objectives and methods of your research. A research proposal aims to show why your project is worthwhile. 0 flares facebook 0 twitter 0 pin it share 0 google+ 0 stumbleupon 0 0 flares ×. A permission letter for research is written in respect of a request letter for conducting a research program in a certain field of the interest. You must conduct research for the position you are applying for. Choose a research paper topic that interests and challenges you the most.

Post a Comment for "Letter To Conduct Research : Letter To School Principal For Permission To Conduct Research In School"